
螺烯(Helicene)是一类由芳环邻位稠合而成的具有独特螺旋手性的非平面多环芳烃化合物,凭借其扭曲的π共轭表面,固有的螺旋手性,良好的溶解性以及结构美学等特征,在化学与材料领域备受关注。然而,过去一个世纪的研究主要集中在合成具有更多芳香环和复杂异质结构的螺烯上,而对无机、有机和聚合物螺烯材料的研究仍处于起步阶段。
共价有机框架(Covalent Organic Frameworks, COFs)作为一类新兴的晶态多孔材料,近年来在各个领域受到了广泛关注。其特点是通过共价键将有机π单元链接得到周期性π阵列高分子骨架并形成规整的孔隙结构。基于结构单元的灵活设计及链接的多样性,共价有机框架可以通过设计其框架及孔道,成为具有不同性能的功能材料,在尖端技术和科学领域等方面表现出极大的应用潜能。然而,目前报道的绝大多数π单元都是基于平面分子体系,如何将扭曲的螺烯分子引入具有明确结构的COFs骨架中,制备具有高结晶性和高孔隙率的螺烯COFs材料极具挑战。近日,能源/环境材料精准设计和功能开发团队在Angew. Chem., Int. Ed.期刊上发表文章,利用[7]螺烯二醛([7]Helicene)和三甲基三嗪在苯甲酸酐催化下进行羟醛缩合,报道了首例螺烯共价有机框架[7]Helicene sp2c-COF-1(图1)。该研究工作通过探索以螺烯为π结构单元,成功合成了以螺烯为构筑单元的COFs新结构,为COFs的开发提供新的思路,为结构、材料和功能的设计开辟一个新的方向。
图1. C=C连接的全π-共轭螺烯COF的合成。
图2. 在不同反应温度(TMT/BA = 1/5)下合成的[7]Helicene sp2c-COF-1的结构表征(黑色:240 ℃;灰色:220 ℃;品红色:200 ℃;蓝色:180 ℃ (TMT/BA = 1/3);红色:180 ℃;绿色:160 ℃;天蓝色:140 ℃;紫色:120 ℃),(a) PXRD,(b) FT-IR,(c) 热重曲线,(d) 13C固体核磁(200 ℃条件下合成),(e) 氮气等温吸附曲线(200 ℃条件下合成),(f) 孔径分布
为了揭示螺烯在聚合过程中如何形成结晶和多孔结构,作者系统地研究了反应条件的影响,包括TMT/BA的添加比例、反应温度、反应时间以及孔道活化方式以确定合成结晶多孔螺烯COFs的关键参数。发现反应体系对反应条件非常敏感。例如,反应温度和摩尔比的变化直接影响结晶多孔COFs的形成,而孔道的活化方式进一步影响螺烯COFs的孔隙大小(图2和图3)。
图3. 在不同反应温度(TMT/BA = 1/5)和不同阶段合成的[7]Helicene单体和[7]Helicene sp2c-COF-1的照片图像。
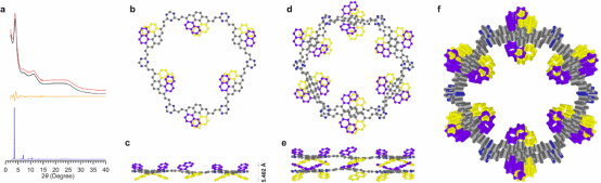
图4. [7]Helicene sp2c-COF-1的PXRD及晶体结构示意图。
PXRD测试表明,合成的[7]Helicene sp2c-COF-1显示出显著的X-射线衍射峰,基于3种可能的手性分布和3种常见的堆叠模型采用密度泛函紧密结合(DFTB)方法模拟了9种可能的晶体结构。模拟结果表明[7]Helicene sp2c-COF-1采用PM/MP层交替的反AA堆叠准随机模型(图4:蓝色曲线),每个晶胞单元由富含对映体的P层和互补的富含对映体的M层组成。[7]Helicene sp2c-COF-1具有独特的晶格结构(图4 b-f),由于相邻层之间的最佳π堆叠方式导致在形成的框架中,相邻层之间的螺烯末端方向相反,层间π间隔为4.05 Å。与其他π单元相比,螺烯构建模块开发了具有独特结构的二维聚合物和开放式π框架,并呈现源自[7]螺烯单元的扭曲构型的高度有序的2D晶格结构(图4)。
图5. [7]Helicene sp2c-COF-1的吸收和发光特性。
图6. [7]Helicene sp2c-COF-1的光电导性。
由C=C连接的[7]Helicene sp2c-COF-1材料表现出扩展的π共轭。值得注意的是,螺烯π单元的扭曲结构赋予2D聚合物和COFs独特的反向滑移AA堆积结构。特别是,所合成的材料结合了高稳定性、扩展π共轭、低禁带、高光导率和高发光活性等特点(图5和图6),表明其丰富的多功能性和在各种应用中的巨大潜力。
这一研究成果近期被发表在Angew. Chem., Int. Ed.,同时被选为Hot Paper,论文的第一作者是yl7703永利集团博士生闫欠欠,通讯作者为江东林教授。
研究成果得到了国家重点研究发展计划(2021YFA1200401)和国家自然科学基金(21975049)的资助。
Crystalline, Porous Helicene Covalent Organic Frameworks
Qianqian Yan, Shanshan Tao, Ruoyang Liu, Yongfeng Zhi, and Donglin Jiang
Angew. Chem., Int. Ed. 2023, e202316092
全文链接:https://onlinelibrary.wiley.com/doi/epdf/10.1002/anie.202316092
撰稿人:江东林,支永峰,闫欠欠
审核人:潘福生